По СМИ пробежала информация, что полсотни народных депутатов пропустили 90% голосований в марте. В глаза сразу бросается некорректность такой постановки вопроса, потому что речь идет именно о голосовании, а не о присутствии депутатов на рабочем месте. Многие депутаты присутствовали, но не голосовали, так как считали предлагаемые законопроекты не приемлемого качества либо вредными для Украины. Оппозиционные депутаты даже придумали название происходящему: "лже-законодательный шабаш".
"К сожалению, в последнем созыве не востребована интеллектуальная работа депутатского корпуса, направленная на для законотворчества! Сегодня востребованы послушные солдатики, которые не рассуждая, четко по команде давят на кнопки за себя и за того парня, штампуя пачками антинародные законы", - рассказывает политический эксперт Денис Яковлев.
О цели демократии
Думаю, никто из читателей не сомневается, что Верховная Рада Украины это демократический институт. Не возобладай в общественном сознании идея демократии, мы бы никогда не узнали, что такое парламент и народное представительство.
Главная задача демократии это отстаивание принципа справедливости, защита тех представителей общества, кому сегодня особенно тяжело, кто нуждается в такой защите.
"Не для кого не секрет, что нынешний состав Верховной Рады Украины пользуется сегодня крайне низким доверием украинского народа и причина одна: неспособность трансформировать волю народа в качественные законодательные акты. Этот год для Верховной Рады ознаменовался целым рядом скандальных законопроектов и принятых решений. Однако, вместо того, чтобы давать реальную оценку принятым законам, некоторые «эксперты» и СМИ переносят акцент с качества на количество голосований каждого депутата, и на основании числа голосований пытаются выстраивать оценку деятельности народных избранников, что абсолютно неприемлемо", – подчеркивает", - подчеркнул политический эксперт Денис Яковлев.
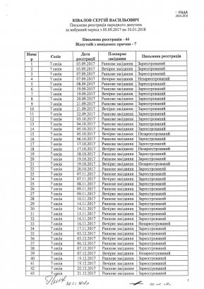
Отмечу, что единственным народным депутатом от Одесской области, который на данный момент отчитался перед избирателями о проделанной работе за 2017 год, остается Сергей Кивалов. Напомню, что свой ежегодный отчет парламентарий начал с представления документа, подтверждающего, что он посетил 87 процентов заседаний. За 5 лет нардеп взял всего один больничный и лишь одну командировку.
Информация о результатах письменной регистрации народного депутата Украины Сергея Кивалова заверена подписью Первого заместителя Руководителя Аппарата - управляющего делами П. Бондаря.
Шельмование ответственных депутатов
Мы видим, что запущена информационная кампания шельмования ответственных депутатов. Принцип ее прост: кто мало голосовал, тот якобы нерадивый депутат. Делается это для того чтобы затушевать систематическое и циничное нарушение Регламента, которое стало нормой. Затушевать ситуацию, когда законопроекты от оппозиционных депутатов просто не допускают до голосования, а их поправки игнорируют по политическим соображениям. Все это является беспринципным нарушением основ парламентаризма.
"Можно ли осуждать оппозиционных депутатов за то, что они не голосовали «За» введение квот на телевидение — законопроект, который полностью ликвидировал в нашей стране свободу слова, за вмешательство государства в дела церкви, за уменьшение на 140 млн. грн. компенсации субсидий для Одесской области, за так называемую медицинскую и пенсионную реформы, добивающие наших людей, а также многое другое, что с нашей точки зрения наносит непоправимый ущерб нашей стране", - задается риторическим вопросом политический эксперт Денис Яковлев.
В то же время многие оппозиционные депутаты последовательно выступают за снятие депутатской неприкосновенности и усиление ответственности нардепов перед своими избирателями, что явно саботируют провластные фракции.
Сегодня люди не следят за тем, чтобы депутаты почаще голосовали, их волнует другое - сколько средств им останется на пропитание (если вообще останется) после оплаты коммуналки, за которую и проголосовали эти послушные депутаты. Наши граждане, по-прежнему надеются на то, что депутаты начнут принимать законы, учитывающие интересы населения, а не власть имущих.
Акцент на качестве работы
Сегодня общество должно сделать акцент в своей оценке на качестве работы народного депутата в принципе. Главные составляющие деятельности каждого народного депутата — это работа в стенах парламента, и конечно, на избирательном округе. Даже сложно определить, чему необходимо уделять больше внимания.
Прием граждан — обычная депутатская работа, по сути, прямая обязанность народного депутата, но к сожалению, многие граждане не имеют возможности повидаться со своими избранниками. А для людей, безуспешно обошедших множество инстанций, но так и не нашедших помощи, народный депутат - последняя надежда!
Регламент не дышло
Отдельно стоит сказать о циничном надругательстве над регламентом Верховной Рады, о процедурных нарушениях, с которыми сейчас принимаются практически все законы. Это, кстати, отличное основание для их дальнейшей отмены. Конституционный Суд уже создал прецедент.
"Говорить в СМИ надо не о количестве голосований, а о низком качестве законодательного материала, который народу пытаются преподнести, как реформы. На самом деле, большая часть принятых законов – преступление перед людьми. Вот о чем надо говорить! –
подчеркивает директор Исследовательского института развития демократии Игорь Назаренко
Оппозиция за защиту людей
Народные депутаты от Оппозиционного блока не раз высказывались о том, что поддерживают только те законодательные инициативы, которые направлены на реальное улучшение жизни и защиту социальных прав граждан.
"В повестку дня последних двух пленарных недель было включено всего лишь несколько законопроектов по социальной поддержке граждан. Двое из них – законодательные инициативы Оппозиционного блока. Они касаются помощи переселенцам. К примеру, проект Постановления № 2535а «О мерах по усилению социальной защиты внутренне перемещенных лиц». Так называемой коалицией законопроект был сознательно поставлен на конец дня, в среду, для того, чтобы на него не хватило голосов. И хотя все фракции на словах выступились за принятие данного постановления, но в зале было очень мало депутатов, поэтому оно не было принято", - рассказывает политический эксперт Денис Яковлев.
Вот истинная картина происходящего в Верховной Раде. Ни один законопроект, который по-настоящему защитит людей, не имеет шанса быть принятым. Партия войны живет по принципу - чем хуже - тем лучше! Но есть в зале депутаты, которые считают, что не имеют морального права потворствовать такой позиции провластных сил, это и вызывает к ним ненависть со стороны провластных сил!





